Test ANOVA Kruskala-Wallisa

Test ten jest nieparametryczną alternatywą jednoczynnikowej analizy wariancji. Za pomocą tego testu porównujemy rozkłady kilku zmiennych:

 (wszystkie próby pochodzą z jednej populacji)
 (nie wszystkie próby pochodzą z tych samych populacji).

Test ten, podobnie jak test U Manna-Whitneya, opiera się na rangach obserwacji. Jeśli wszystkie próby pochodzą z jednej populacji, spodziewamy się, że średnie rangi w poszczególnych grupach będą zbliżone. Statystyka testowa wyraża się wzorem:

,

gdzie:

  • - suma rang w i-tej grupie,
  • - liczebność i-tej grupy,
  • - łączna liczebność wszystkich grup.

Jeśli hipoteza zerowa jest prawdziwa, statystyka ta ma rozkład o stopniach swobody (prawostronny obszar krytyczny).

Ze względu na brak konieczności spełnienia kłopotliwego założenia odnośnie normalności rozkładów, Test ANOVA Kruskala-Wallisa, obok testu U Manna-Whitneya, jest prawdopodobnie najpowszechniej stosowanym testem jednorodności rozkładów w różnego rodzaju badaniach, w tym np. badaniach klinicznych z zakresu medycyny, biologii i dziedzin pokrewnych, badaniach socjodemograficznych, badaniach komercyjnych, w tym m.in badaniach marketingowych czy badaniach rynku i opinii oraz wielu innych.

PRZYKŁAD

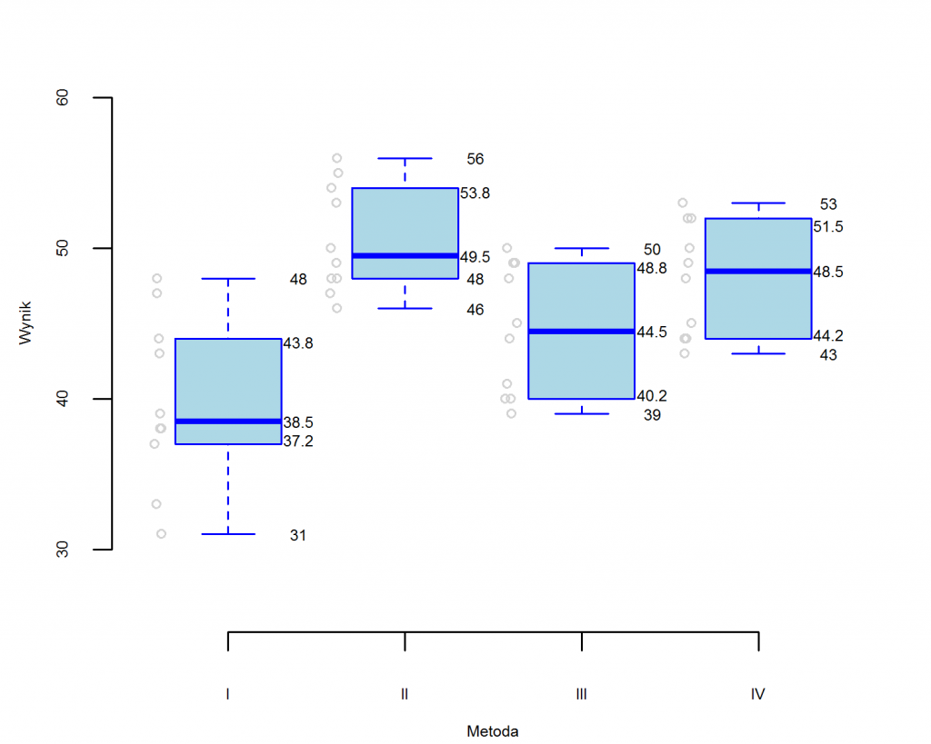
W celu sprawdzenia, czy różne metody leczenia schorzenia dają takie same rezultaty, zostało przeprowadzone
badanie. W celu porównania 4 metod leczenia pewnego schorzenia pobrano 10-elementowe
próby losowe spośród osób, które podlegały leczeniu odpowiednio metodą I, II, III i IV. Wyniki badania
podano w umownej skali oraz przyporządkowano im odpowiednie rangi.

 

Statystyka AZ
Obliczając statystykę testową otrzymano:
Przy takiej wartości statystyki T hipotezę zerową, mówiącą, że niezależnie od metody leczenia wyniki są takie same, należy odrzucić, ponieważ statystyka testowa wpada w obszar krytyczny rozkładu o 3 stopniach swobody przy .

Otrzymane wnioski potwierdza graficzna interpretacja danych na na wykresie pudełkowym: Statystyka AZ

Polecane serwisy: